不確かさとは
| 不確かさの定義 |
不確かさ算出の要点 | 不確かさの表記方法 |
|---|
不確かさ算出の要点
実際の不確かさ(拡張不確かさ)はどのようにして求められるか、その要点を説明します。不確かさの算出は3つのステップに分けて行います。 |
ステップ1:
| 測定のばらつきの要因を特定する(要因A:測定システム、要因B:環境温度、要因C:測定者など)
測定方法を確認し、測定システム、測定対象、測定手順、測定環境、測定者の技能など、測定値に不確かさを持たせる要因を抽出します。 |
| 要因A:測定システム | 要因B:環境温度 | 要因C:測定者 | |
|
ステップ2:
| 特定した個々の要因によるばらつきの大きさを推定する (標準不確かさu1, u2, u3など)
各ばらつき要因の特徴からばらつきに応じて計算方法が変わります。 |
| 要因A標準不確かさ: u1 | 要因B標準不確かさ: u2 | 要因C標準不確かさ: u3 | |
|
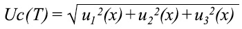
ステップ3:
| 求めた個々のばらつきを合成し、全体的なばらつきを求める
手順は、まず各標準不確かさ(u1、 u2、 u3・・・)を合成し標準合成不確かさ(Uc)を求め、 更に定数k*を乗算して拡張不確かさを求めます。
合成標準不確かさ 
拡張不確かさ 
|
*定数kは包含係数と呼ばれ不確かさ算出ではk =2(2σ)が多く使われます。
|
Not available in your country.
Not available in your country.
Redirecting
You are being redirected to our local site.
Sorry, this page is not available in your country