Alain Le Duff1, Guillaume Painchaud-April1
1Evident工业
3415 Pierre-Ardouin Street
Quebec QC, G1P 0B3
1. 引言
在超声无损检测(NDT)领域,全聚焦方式(TFM)现已成为一种广为人知、广泛接受的无损检测(NDT)成像技术。此外,这种技术现已在多种便携式设备上商用,包括OmniScan X3系列探伤仪,而且TFM在NDT领域越来越受欢迎。
然而,尽管TFM比传统的相控阵(PA)检测更容易解读图像,但在采集过程中使用单晶片发射可能会导致图像的信噪比(SNR)较低。这种低信噪比是由于声学穿透力差造成的,通常发生在厚部件或高衰减性材料中。
为了克服这个问题,这里提出了一种仅使用所采集信号的与相位相关的信息实现传统TFM算法的不同方式。这种方式基于矢量相干因子(VCF)1,是一种从采集的信号中去除波幅信息的图像本身。这种方式通常也称为相位相干成像(PCI),具有一定的优势,2,3,4其中包括以下几点:
- 只考虑信号的瞬时相位2,而且材料衰减不会影响信号的相位,因此PCI在应对较厚或高衰减性材料检测应用的挑战方面可能特别有用。
- 由于不考虑信号波幅,因此无需进行波幅校准。3
- 提高了对衍射几何形状的灵敏度以及不同扫描视图之间缺陷表现的一致性。
- 为裂纹类缺陷的定量提供了一种可靠的非基于波幅的方法。3
本文接下来将尝试对PCI的基本原理进行说明。为了解释清楚,我们将首先回顾一下延迟和求和(DAS)算法的运算,该算法可以基于FMC(全矩阵捕获)构建一种带有包络的传统TFM图像。然后,将证明PCI算法是DAS算法的一种变体。
文中将举出对人工缺陷进行实际检测的示例,这些缺陷的性质和几何形状已知,因此可以对基于两种算法分别获得的传统TFM和PCI两种图像进行比较。
2. 传统TFM和DAS算法原理的回顾

图1. 使用与被测表面接触的探头进行FMC采集的几何配置。压电晶片k向材料中发射超声波。压电晶片l接收反射回来的超声波。
图1显示相控阵超声检测探头(PAUT)进行全矩阵捕获(FMC)所使用的几何配置,以及对应于使用TFM进行检测和查看的样件部分的感兴趣区域(ROI)。压电晶片k发射超声波。然后,超声波在被测样件材料中传播,并被材料中存在的缺陷以及各种界面反射回来。压电晶片l接收反射的超声波,从而形成A扫描信号skl。然后,FMC对所有A扫描分组,获得所有可能的kl组合。
图2是一个流程图,分6个主要步骤,说明了延迟和求和(DAS)算法基于FMC采集重建传统TFM图像的原理:
- 进行FMC采集,生成包含所有A扫描sklI (t)的数据。 这里的指数I表明这些A扫描是同相信号。
- 应用希尔伯特变换,可以获得在FMC数据中采集并分组的同相A扫描sklI (t)的正交分量sklQ (t)。
- xklI和xklQ数据是使用预先计算的延迟τkl (x,z)提取的。这些延迟是根据所选模式类型(例如,L-L、T-T、TT-T、TT-TT)和要观察的ROI预先计算的。
- 然后求和,得到两个正交的TFM图像,即ITFMI (x,z)和ITFMQ (x,z)。
- 波幅(也称为模块或包络)ITFM (x,z) 的估算通过欧式距离计算而得。
- 然后,由显卡启用的后处理步骤,对TFM图像进行格式化(基本上是数字滤波、重新采样和重新定量),并在仪器的显示屏上将其呈现给用户。

图2. 从FMC采集中获取波幅TFM图像的6步DAS算法原理
3. PCI算法的原理
OmniScan X3 64探伤仪中采用的PCI算法与图2中的DAS算法在两个主要方面有所不同:
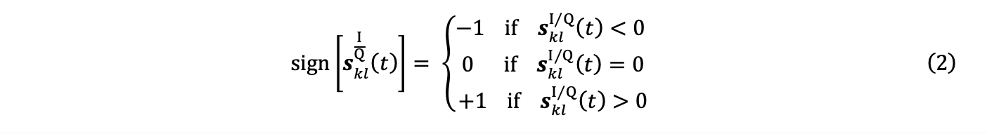
- 添加了一个步骤:图4中的步骤3b,就是使用函数符号对sklI (t)和sklQ (t)进行量化。这个步骤使得突出显示信号的相干性成为可能,正如本文稍后所述。
- 使用范数L∞计算波幅,这个范数也被称为切比雪夫范数,而传统TFM使用的是欧几里得范数。
3.1. 相位相干的概念
要想更好地理解PCI的本质,就必须引入信号相干性的概念,这是该方法的一个基本原理。本小节将以简化的形式介绍这个概念。为此,必须注意函数符号(有时称为符号函数)的运算。
函数符号在3个不同的级别(+1、0和-1)上量化信号s(t):

为了更好地理解这种量化运算对信号的影响,图3以示例的方式表明了在A扫描s(t)上应用函数符号的结果,此处的A扫描为演示目的而任意选择。通过观察图3,可以注意到以下几点:
- 该信号有两种区域类型:(1)所谓的相干区域,表明存在信号指示,即存在缺陷的情况,以及(2)所谓的非相干区域,表明不存在缺陷指示,只存在纯噪声。应该注意的是,这种噪声主要来源于仪器的固有电子噪声,还有声波与样件材料相互作用产生的结构噪声。
- 相干区域在量化信号中的1到-1之间[图3(b)],且其中的信号强度保持恒定;而在原始信号中,波幅会随着时间而减小[图3(a)](例如,由于几何衰减)。
- 在图3(b)的量化信号中,存在具有混乱性的强噪声,其水平远高于图3(a)的原始信号中几乎无法察觉的噪声水平。正如本文中的示例所示,这有助于解释为什么通过PCI获得的TFM图像比传统的TFM图像具有“更嘈杂”的外观,通过比较图6(a)和图6(b)或图8(a)和图8(b)可以了解这一点。然而,与相干区域不同,这些具有高水平混乱性噪声的区域(非相干区域)具有独立于图像中位置的统计分布。由于这种差异,尽管PCI生成的图像外观更嘈杂,但更容易区分相干区域和非相干区域。如图6(c)和图8(c)所示,在使用PCI时,OmniScan X3 64设备默认应用的适应性彩图便于用户进行这种区分。
因此函数符号的表现被用于PCI中,一方面是为了保持一致的信号强度(例如,不管检测深度如何),另一方面是为了将相干区域和非相干区域区分开来,相干区域往往对应于存在缺陷的区域,而嘈杂的非相干区域对应于没有缺陷的区域。需要说明的是,信号的相干性是信号相位所携带的信息。
从某种角度来看,PCI传递的信息本质上可被视为准二进制,因为“相干性/非相干性”等同于“存在缺陷/不存在缺陷”。那么问题就在于采取一种策略将这两种情况区分开来。本文没有涉及到实现这一目标的方法,不过,适应性彩图(如在 OmniScan X3 64探伤仪中生成的彩图)有助于完成区分任务。

图3. 原始A扫描类型的信号和噪声(图a)以及使用函数符号(图b)的量化信号
3.2. PCI算法

图4. PCI算法的原理
下面图4中的流程图总结了在OmniScan X3 64探伤仪中实现的PCI算法:
- 采集阶段,以构建包含所有A扫描sklI (t)的FMC数据。指数I表示这些A扫描是同相信号。
- 应用希尔伯特变换,可以获得在FMC数据中获得并分组的同相A扫描sklI (t)的正交分量sklQ (t)。
- 利用延迟τkl (x,z),提取数据xklI和xklQ。这些延迟已根据所选模式的类型(例如,L-L、T-T、TT-T、TT-TT)和要观察的ROI提前计算出来。
前三个步骤与图2中的DAS算法的前三个步骤相同。
3b. 根据公式1使用符号函数对信号xklI和xklQ进行量化,得到信号yklI和yklQ:

步骤3b是为PCI算法特别添加的步骤。
4. 求和,以得到两个正交的PCI图像,IPCII (x,z)和IPCIQ (x,z):


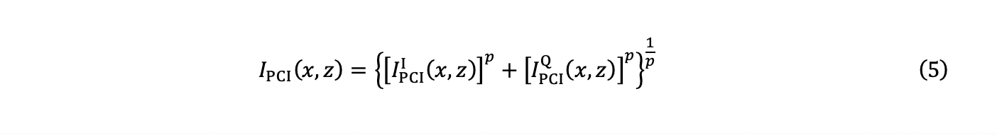
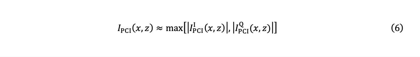
5. 最后,通过计算切比雪夫距离(也称为统一范数或范数L∞)以及等式(3)和等式(4)的两个量,估算出波幅IPCI (x,z):

带有p→∞。
很难从带有p→∞的等式5估算出波幅。那么可以使用以下表达式得到一个很好的近似值:

也就是使用同相和正交图像的绝对值(|⋅|)的最大值进行估算。
6. 最后,还有一个后处理步骤,与用于获取传统TFM图像的DAS算法相同,由显卡启用,对TFM图像进行格式化(基本上是数字滤波、重新采样和重新定量),并在仪器屏幕上将TFM图像呈现给用户。
值得注意的是,如图4所示,在OmniScan X3 64探伤仪中实现的PCI处理工作流程在检测过程中实时完成,其速度(即从数据采集到图像生成)相对来说与在设备中生成传统的TFM相同。
4. 实验示例
这里将举出的两个示例取自对性质和几何形状已知的缺陷进行的实验性测量,目的是对使用前述两种算法分别获得的图像进行比较,并突出介绍PCI的某些特征。这些特点包括波幅的稳健性和探测缺陷尖端的敏感性。
4.1. 示例1:检测带横通孔(SDH)的试块
第一个检测示例旨在突显PCI方法抗衰减的稳健性。我们使用5L64-A32 PAUT探头,在不使用楔块的情况下(即探头与被检工件直接接触)对一个含有17个SDH(横通孔)的钢块(ASTM E2491低碳钢试块)进行检测。检测配置如图5所示。
图6显示使用L-L传播模式重建的传统TFM(图a)和PCI(图b和图c)图像。在图6中,我们可以清楚地观察到以下情况:
- 在PCI图像中,所有SDH都以相同的强度显示,而在传统的TFM图像中,可以感觉到衰减对较低的SDH的影响,以及声束发射波幅对较高的SDH的影响。
- 在PCI图像中,背景噪声水平也更高。
由于PCI是一种无需波幅的成像方法,信号的相干求和会独立于信号波幅而完成,因此可以生成具有高对比度的缺陷指示。3

图5. 示例1的检测配置:ASTM E2491低碳钢试块和5L64-A32探头。

图6. 在OmniScan X3 64探伤仪中使用传统的TFM(图a)、PCI(图b)和带默认彩图的PCI(图c)为SDH成像
4.2. 示例2:钢块中的刻槽缺陷
PCI另一个有趣的特性是它对缺陷尖端的敏感性,它可以准确地确定不连续性的大小。似乎来自大散射体的镜面反射相对于波幅求和会有所减少,因为只有少数常见的相位项参与到求和运算中。因此,对于窄而尖的反射体,PCI往往表现得更加稳健。
第二个示例旨在突出PCI的这一特性,展示的是使用SPWZ1-N55S-IHC楔块和7.5L60-PWZ1相控阵探头对含有一个定向为70°的非表面断裂刻槽的钢块进行检测的结果。图7中显示的是检测配置。
图8显示了使用TT-TT传播模式重建的传统TFM(图a)和PCI(图b和图c)图像。可以进行以下比较:
- 来自大散射体的镜面反射相对于波幅求和会有所减少,因为只有少数常见的相位项会参与到求和运算中。
- 相对于传统的TFM,PCI的对比度有所提高。
- PCI对缺陷尖端具有更好的敏感性。
- PCI的信噪比更低。
因此,尽管传统的TFM图像能够更准确地评估刻槽的范围,但由于PCI对缺陷尖端的高度敏感性,也能准确定量刻槽状缺陷,而无需顾及很容易被校准过程或材料中的衰减所误导的半经验式考虑因素。

图7. 示例2的检测配置:使用SPWZ1-N55S-IHC楔块和7.5L60-PWZ1探头对一个含有使用电火花加工制造的斜向刻槽的低碳钢块进行检测。

图8. 在OmniScan X3 64探伤仪中使用传统TFM(图a)、PCI(图b)和带默认彩图的PCI(图c)为刻槽成像。
实验结果
总之,我们的实验表明PCI具有很多优点:
- 由于它是一种非基于波幅的成像方法,图像解读不基于波幅经过校准的信号,这点较基于波幅的传统TFM更具优势。
- 对于窄而尖的反射体以及更普遍的衍射几何形状具有更高的敏感性。
- 能够准确定量刻槽类缺陷,而无需顾及很容易被校准过程或材料中的衰减所影响的半经验式考虑因素。
- PCI不需要校准程序,与传统的TFM相比,可以更容易、更准确地定量刻槽。
- 增益可被设为很低的值,以防止信号饱和。
- 此外,使用处理器足够强大的仪器,如OmniScan X3 64探伤仪,可生成实时PCI图像,因此在检测过程中可以立即显示结果。
但是,这种方法的一些缺点也应该被提及:
- 不能很好地再现平面反射体。
- PCI的信噪比(SNR)低于基于波幅的方法。但是,如前所述,这不是一个主要缺点,因为PCI可以很容易地将存在缺陷的相干区域与对应于图像噪声区域的非相干区域区分开来。
- 用户已经习惯于查看基于波幅的端视图,因此对于PCI,可能存在一个适应期。
参考文献
- JF Cruza、J. Camacho和C. Fritsch,“Plane-wave phase-coherence imaging for NDE”(用于无损检测的平面波相位相干成像),《NDT & E International》,第87卷,第31–37页,2017年4月。
- B. Gauthier、G. Painchaud-April、A. Le Duff和P. Belanger,“Lightweight and Amplitude-Free Ultrasonic Imaging Using Single-Bit Digitization and Instantaneous Phase Coherence”(使用单比特数字化和瞬时相位相干的轻型无波幅超声成像),《IEEE Trans. Ultrason., Ferroelect., Freq. Contr.》,第69卷,第5期,第1763-1774页,2022年5月,doi:10.1109/TUFFC.2022.3163621。
- B. Gauthier、G. Painchaud-April、A. Le Duff和P. Bélanger,“Towards an Alternative to Time of Flight Diffraction Using Instantaneous Phase Coherence Imaging for Characterization of Crack-Like Defects”(使用瞬时相位相干成像替代衍射时差表征裂纹状缺陷),《Sensors》,第21卷,第3期,第730页,2021年1月,doi:10.3390/s21030730。
- A. Le Duff、N. Badeau、E. Peloquin、G. Painchaud-April、C.-H. Kwan, B. Gauthier,“Total Focusing Method with Phase-Only Ultrasound Signal for Small Flaw Detection”(使用仅表现相位超声信号的全聚焦方式探测小缺陷),国际超声检测会议(UT-在线),2021年。


